Toán là bộ môn gắn bó với các bạn học sinh từ khi bước chân vào ghế nhà trường. Là một bộ môn nền tảng, giúp phát triển tư duy và liên quan mật thiết đến các môn học khác. Toán 9 có lượng kiến thức khá lớn để chuẩn bị cho kỳ thi vào 10. Ngay sau đây, Giasugioi24h sẽ tổng hợp những kiến thức cơ bản môn Toán 9.
Kiến thức Đại số 9
Để có thể làm được bài từ cơ bản đến nâng cao, bạn cần nắm chắc các kiến thức cơ bản môn Toán 9. Toàn bộ kiến thức lý thuyết, công thức và các dạng Toán 9 sẽ được hệ thống giúp các bạn ôn luyện toàn diện nhất. Hãy học thật kỹ lý thuyết để hiểu rõ bản chất thay vì chi áp dụng công thức sẽ nhanh quên và không giải được những bài tập nâng cao.
Phần Đại số 9 bao gồm các kiến thức:
Căn bậc hai và căn bậc ba

Hàm số bậc nhất 
Hàm số có tính chất:
- Hàm số đồng biến trên tập R kho a > 0.
- Hàm số nghịch biến trên tập R kho a < 0.
Đồ thị hàm số là một đường thẳng đi qua điểm A(0;b) và B(-b/a;0).
Hệ hai phương trình bậc nhất hai ẩn


Phương trình bậc hai một ẩn 
Hàm số có tính chất:
- Nếu a > 0 thì hàm số nghịch biến khi x < 0 và đồng biến khi x > 0.
- Nếu a < 0 thì hàm số đồng biến khi x < 0 và nghịch biến khi x > 0.
Đồ thị hàm số là một đường cong Parabol đi qua gốc tọa độ O(0;0).
- Nếu a > 0 thì đồ thị hàm số nằm phía trên trục hoành.
- Nếu a < 0 thì đồ thị hàm số nằm phía dưới trục hoành.
Phương trình bậc hai 
Phương trình có công thức nghiệm như sau:


Công thức nghiệm thu gọn:

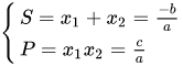
Hệ thức Viet và ứng dụng của nó
Nếu
là nghiệm của phương trình bậc hai một ẩn 

Các ứng dụng của hệ thức Viét:

Kiến thức Hình học 9
Hệ thức lượng trong tam giác vuông
Bao gồm hệ thức lượng trong tam giác vuông, tỷ số lượng giác của góc nhọn và hệ thức cạnh và góc.

Đường tròn và góc với đường tròn
Quan hệ vuông góc giữa đường kính và dây cung trong một đường tròn:
- Nếu đường kính vuông góc với dây thì nó sẽ đi qua trung điểm của dây đó.
- Đường kính đi qua trung điểm của một dây không đi qua tâm thì vuông góc với dây đó.
Liên hệ giữa dây và khoảng cách từ tâm đến dây trong một đường tròn:
- Hai dây bằng nhau thì cách tâm một khoảng đều nhau.
- Hai dây cách đều tâm thì bằng nhau.
- Dây nào có độ dài lớn hơn thì dây đó gần tâm hơn.
- Dây nào gần tâm hơn thì dây đó có độ dài lớn hơn.
Góc với đường tròn
- Các góc nội tiếp bằng nhau chắn các cung có số đo bằng nhau.
- Các góc nội tiếp cùng chắn một cung thì bằng nhau.
- Các góc nội tiếp chắn các cung bằng nhau thì bằng nhau.
- Góc nội tiếp nhỏ hơn hoặc bằng 900 có số đo bằng nửa số đo của góc ở tâm cùng chắn một cung.
- Góc nội tiếp chắn nửa đường tròn là góc vuông và ngược lại góc vuông nội tiếp thì chắn nửa đường tròn.
- Góc tạo bởi tiếp tuyến và dây cung và góc nội tiếp cùng chắn một cung thì bằng nhau.

Hình trụ, hình nón, hình cầu

Xem thêm:
- Tổng hợp đề thi vào lớp 10 môn toán
- Hướng dẫn cách học giỏi toán hình học lớp 9
- Các phương pháp học môn tiếng anh hiệu quả chắc chắn thành công
- Cách học giỏi môn toán lớp 9 ngay tại nhà
Hy vọng những tổng hợp kiến thức cơ bản môn Toán 9 sẽ giúp các bạn ôn tập tốt hơn và đạt kết quả cao trong các kỳ thi.
